首页
关于海杰亚
产品介绍
新闻动态
人才招聘
社会责任
联系我们
首页 > 新闻动态 > 知识科普

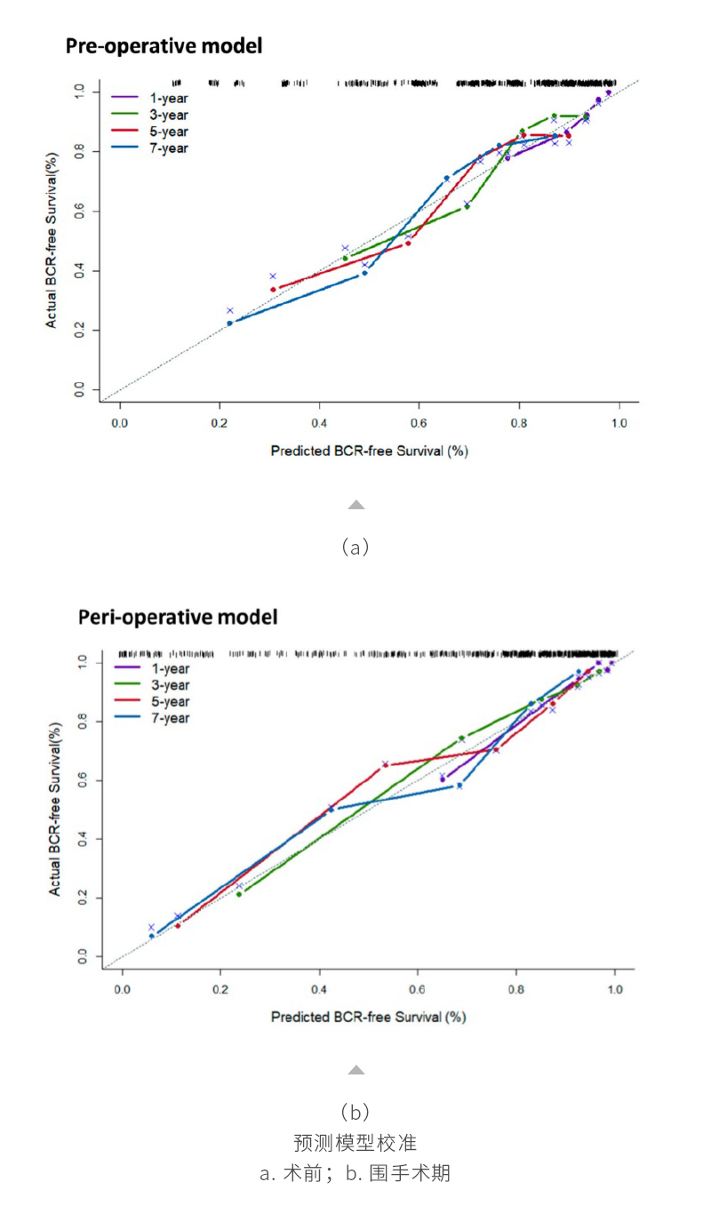
冷冻消融前列腺癌——【海杰亚科研资讯】第281期

发布时间:2024-09-06 | 作者:海杰亚 | 浏览次数:78